Social Psychology Goals Interaction 6th - Ebook And Manual Free

Pdf Download Social Psychology Goals In Interactions Alc And Revel Social Psychology Package Video Dailymotion

Pdf Download Social Psychology Goals In Interactions Alc And Revel Social Psychology Package Video Dailymotion

Reconsidering Jigsaw Social Psychology Longitudinal Effects On Social Interdependence Sociocognitive Conflict

Reconsidering Jigsaw Social Psychology Longitudinal Effects On Social Interdependence Sociocognitive Conflict

Social Psychology Goals In Interaction 6th Edition Kenrick Test Bank By Suarez Issuu

Social Psychology Goals In Interaction 6th Edition Kenrick Test Bank By Suarez Issuu

When Are Achievement Goal Orientations Beneficial For Academic Achievement A Closer Look At Main Effects And

When Are Achievement Goal Orientations Beneficial For Academic Achievement A Closer Look At Main Effects And

Social Psychology Goals In Interaction Books A La Carte 6th Edition 0133810348 Amazon Price Tracker

Social Psychology Goals In Interaction Books A La Carte 6th Edition 0133810348 Amazon Price Tracker

Full Article Assessing The Statistical Analyses Used In Basic And Applied Social Psychology After Their P Value Ban

Full Article Assessing The Statistical Analyses Used In Basic And Applied Social Psychology After Their P Value Ban

Measuring Implemental Delay In Procrastination Separating Onset And Sustained Goal Striving Sciencedirect

Measuring Implemental Delay In Procrastination Separating Onset And Sustained Goal Striving Sciencedirect

35t9052aqccxgm

35t9052aqccxgm

Nobodys Boy Isbn 1533380368

Nobodys Boy Isbn 1533380368

Pdf Motivational Beliefs Values And Goals

Pdf Motivational Beliefs Values And Goals

Pdf Community Psychology Evaluation And Social Critique

Pdf Community Psychology Evaluation And Social Critique

Pdf The Social Psychology Of English As A Global Language

Pdf The Social Psychology Of English As A Global Language

Effective Reading Dcu Student Learning Ppt Download

Effective Reading Dcu Student Learning Ppt Download

Reconsidering Jigsaw Social Psychology Longitudinal Effects On Social Interdependence Sociocognitive Conflict

Reconsidering Jigsaw Social Psychology Longitudinal Effects On Social Interdependence Sociocognitive Conflict

Social Psychology 6th Edition By Stephen Franzoi Good Condition For Sale Online

Social Psychology 6th Edition By Stephen Franzoi Good Condition For Sale Online

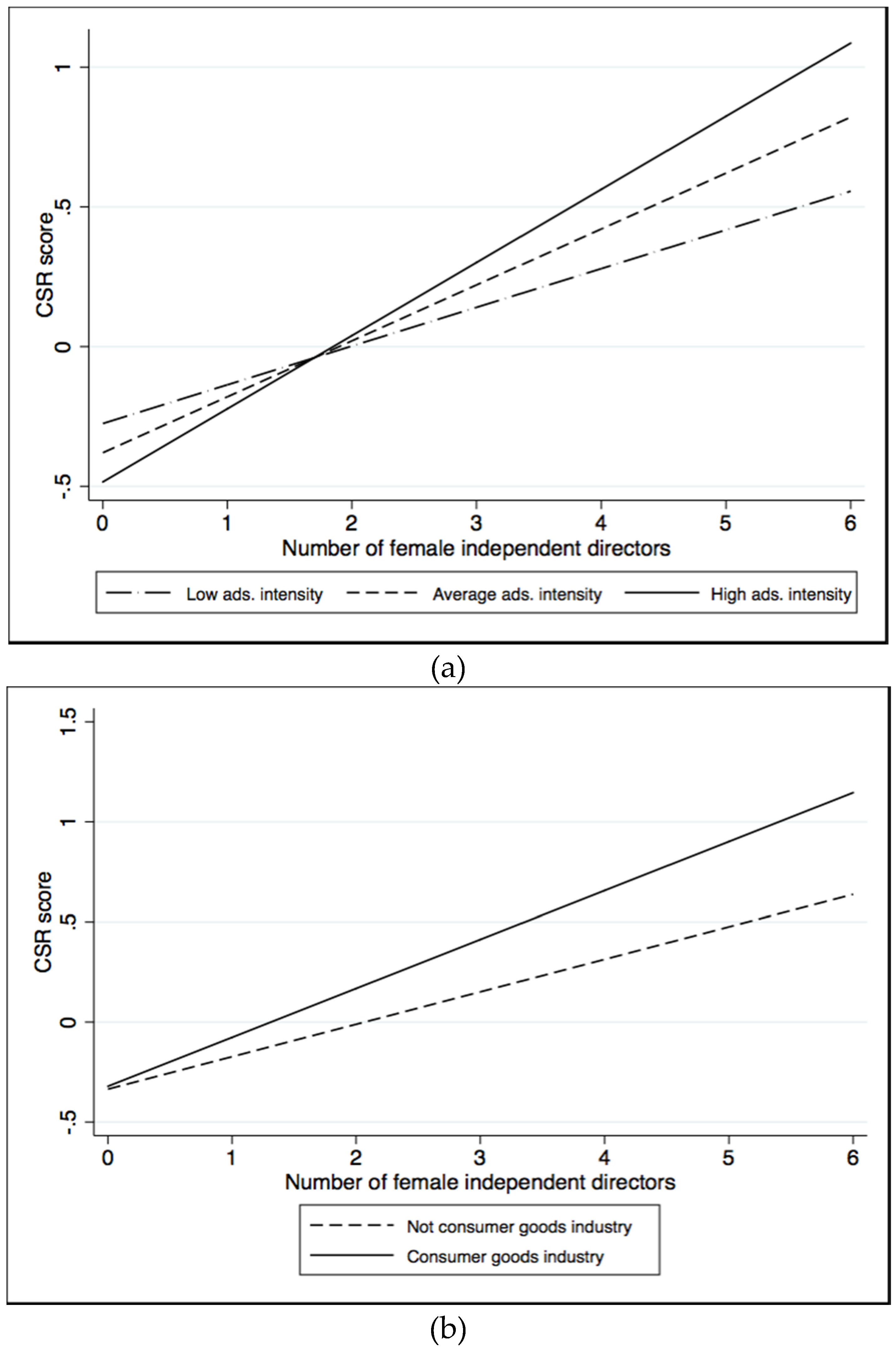
Sustainability Free Full Text Women On Boards And Corporate Social Responsibility Html

Sustainability Free Full Text Women On Boards And Corporate Social Responsibility Html

Amazon Com Social Psychology Goals In Interaction 5th Edition 9780205698073 Kenrick Douglas Neuberg Steven

Amazon Com Social Psychology Goals In Interaction 5th Edition 9780205698073 Kenrick Douglas Neuberg Steven

Social Psychology Goals In Interaction 6th Instructor S Ed Kenrick Douglas Neub 9780133810189 Ebay

Social Psychology Goals In Interaction 6th Instructor S Ed Kenrick Douglas Neub 9780133810189 Ebay

Integrated Social And Cognitive Psychology Jacobs University Inspiration Is A Place

Integrated Social And Cognitive Psychology Jacobs University Inspiration Is A Place

7 Most Important Social Skills For Kids

7 Most Important Social Skills For Kids

Students Wellbeing And Sense Of Belonging A Qualitative Study Of Relationships And Interactions In A Small School

Students Wellbeing And Sense Of Belonging A Qualitative Study Of Relationships And Interactions In A Small School

Https Www Jstor Org Stable 2095417

Https Www Jstor Org Stable 2095417

Framing Psychology As A Discipline 1950 1999 A Large Scale Term Co Occurrence Analysis Of Scientific Literature

Framing Psychology As A Discipline 1950 1999 A Large Scale Term Co Occurrence Analysis Of Scientific Literature

Psychology Webinars Conferences Psychiatry 2020 Psychology Conferences Psychiatry Conferences Mental Health

Psychology Webinars Conferences Psychiatry 2020 Psychology Conferences Psychiatry Conferences Mental Health

Pdf The Social Psychology Of English As A Global Language

Pdf The Social Psychology Of English As A Global Language

Pdf Grit Perseverance And Passion For Long Term Goals

Pdf Grit Perseverance And Passion For Long Term Goals

Doing The Right Things Or Doing Things Right Paradoxes And Swedish Communication Professionals Roles And

Doing The Right Things Or Doing Things Right Paradoxes And Swedish Communication Professionals Roles And

The Influence Of Perceived Value On Purchase Intention In Social Commerce Context Emerald Insight

The Influence Of Perceived Value On Purchase Intention In Social Commerce Context Emerald Insight

19 Best Positive Psychology Interventions How To Apply Them

19 Best Positive Psychology Interventions How To Apply Them

Cities And Urban Life 6th Edition Macionis Test Bank

Cities And Urban Life 6th Edition Macionis Test Bank

Raed Pdf Social Psychology Goals In Interaction 6th Edition By Xavier Kimi Medium

Raed Pdf Social Psychology Goals In Interaction 6th Edition By Xavier Kimi Medium

The Science Psychology Of Goal Setting 101 Positivepsychology Com

The Science Psychology Of Goal Setting 101 Positivepsychology Com

Social Psychology By Douglas Kenrick Steven L Neuberg And Robert B Cialdini Ebay

Social Psychology By Douglas Kenrick Steven L Neuberg And Robert B Cialdini Ebay

Social Media Addiction Its Impact Mediation And Intervention Hou Cyberpsychology Journal Of Psychosocial

Social Media Addiction Its Impact Mediation And Intervention Hou Cyberpsychology Journal Of Psychosocial

Ijgi Free Full Text Review Of Web Mapping Eras Trends And Directions Html

Ijgi Free Full Text Review Of Web Mapping Eras Trends And Directions Html

Full Article Stepping Into Their Shoes Reducing The Actor Observer Discrepancy In Judgments Of Infidelity Through

Full Article Stepping Into Their Shoes Reducing The Actor Observer Discrepancy In Judgments Of Infidelity Through

Motivation And What Really Drives Human Behavior

Motivation And What Really Drives Human Behavior

Pdf Engagement In Academic Work The Role Of Learning Goals Future Consequences Pleasing Others And Perceived

Pdf Engagement In Academic Work The Role Of Learning Goals Future Consequences Pleasing Others And Perceived

Building Bridges Between Organization Development And Community Psychology An Integrative Model For Multi Site

Building Bridges Between Organization Development And Community Psychology An Integrative Model For Multi Site

Pdf The Social Psychology Of English As A Global Language

Pdf The Social Psychology Of English As A Global Language

The Science Psychology Of Goal Setting 101 Positivepsychology Com

The Science Psychology Of Goal Setting 101 Positivepsychology Com

Psychology Webinars Conferences Psychiatry 2020 Psychology Conferences Psychiatry Conferences Mental Health

Psychology Webinars Conferences Psychiatry 2020 Psychology Conferences Psychiatry Conferences Mental Health

New And Used Books Magazines For Sale In Everett Wa Offerup

New And Used Books Magazines For Sale In Everett Wa Offerup

Pdf Toward A Theory Of The Universal Content And Structure Of Values Extensions And Cross Cultural Replications

Pdf Toward A Theory Of The Universal Content And Structure Of Values Extensions And Cross Cultural Replications

Social Psychology Goals In Interaction Books A La Carte 6th Edition 0133810348 Amazon Price Tracker

Social Psychology Goals In Interaction Books A La Carte 6th Edition 0133810348 Amazon Price Tracker

Principles Of Social Psychology Open Textbook Library

Principles Of Social Psychology Open Textbook Library

To Take Or Not To Take Student Learning Note Taking Ppt Download

To Take Or Not To Take Student Learning Note Taking Ppt Download

Plan 9 From Cyberspace The Implications Of The Internet For Personality And Social Psychology

Plan 9 From Cyberspace The Implications Of The Internet For Personality And Social Psychology

Https Ir Lawnet Fordham Edu Cgi Viewcontent Cgi Article 5108 Context Flr

Https Ir Lawnet Fordham Edu Cgi Viewcontent Cgi Article 5108 Context Flr

Amazon Com Social Psychology Goals In Interaction 6th Edition Nf 9780134090962 Kenrick Douglas Neuberg

Amazon Com Social Psychology Goals In Interaction 6th Edition Nf 9780134090962 Kenrick Douglas Neuberg

Do A Robot S Social Skills And Its Objection Discourage Interactants From Switching The Robot Off

Do A Robot S Social Skills And Its Objection Discourage Interactants From Switching The Robot Off

Is The Privacy Paradox A Relic Of The Past An In Depth Analysis Of Privacy Attitudes And Privacy Behaviors

Is The Privacy Paradox A Relic Of The Past An In Depth Analysis Of Privacy Attitudes And Privacy Behaviors

Rochester Community Schools Rochester High School Home Page

Rochester Community Schools Rochester High School Home Page

Flexible Learning Spaces Facilitate Interaction Collaboration And Behavioural Engagement In Secondary School

Flexible Learning Spaces Facilitate Interaction Collaboration And Behavioural Engagement In Secondary School

Health Psychology Definition Purpose And Goals Video Lesson Transcript Study Com

Health Psychology Definition Purpose And Goals Video Lesson Transcript Study Com

Https Www Studeersnel Nl Nl Document Tilburg University Sociale Psychologie Samenvattingen Summary Social Psychology Goals In Interaction Chapter 1 305634 View

Https Www Studeersnel Nl Nl Document Tilburg University Sociale Psychologie Samenvattingen Summary Social Psychology Goals In Interaction Chapter 1 305634 View

Summary Social Psychology Goals In Interaction Chapter 1 Studeersnel

Summary Social Psychology Goals In Interaction Chapter 1 Studeersnel

Contemporary Psychology Introduction To Psychology

Contemporary Psychology Introduction To Psychology

Social Psychology By Steven L Neuberg Douglas Kenrick And Robert B Cialdini 2014 Hardcover For Sale Online Ebay

Social Psychology By Steven L Neuberg Douglas Kenrick And Robert B Cialdini 2014 Hardcover For Sale Online Ebay

20 Most Popular Theories Of Motivation In Psychology

20 Most Popular Theories Of Motivation In Psychology

Http Selfdeterminationtheory Org Sdt Documents 1986 Ryangrolnick Jpsp Pdf

Http Selfdeterminationtheory Org Sdt Documents 1986 Ryangrolnick Jpsp Pdf

Journal Of Personality And Social Psychology Apa Publishing Apa

Journal Of Personality And Social Psychology Apa Publishing Apa

Full Article Seven Hci Grand Challenges

Full Article Seven Hci Grand Challenges

Development Of Achievement Motivation Wigfield Major Reference Works Wiley Online Library

Development Of Achievement Motivation Wigfield Major Reference Works Wiley Online Library

9780133972627 New Mylab Psychology With Pearson Etext Standalone Access Card For Social Psychology Goals In

9780133972627 New Mylab Psychology With Pearson Etext Standalone Access Card For Social Psychology Goals In

Do A Robot S Social Skills And Its Objection Discourage Interactants From Switching The Robot Off

Do A Robot S Social Skills And Its Objection Discourage Interactants From Switching The Robot Off

Social Roles Definition And Types Of Social Roles Video Lesson Transcript Study Com

Social Roles Definition And Types Of Social Roles Video Lesson Transcript Study Com

Social Movement Wikipedia

Social Movement Wikipedia

Tpb References

Tpb References

20 Psychological Principles That Will Help Your Students Learn More Effectively Psych Learning Curve

20 Psychological Principles That Will Help Your Students Learn More Effectively Psych Learning Curve

The School Psych Toolbox Iep Goal Bank

The School Psych Toolbox Iep Goal Bank

9780133970548 Instructor S Review Copy For Social Psychology Goals In Interaction Abebooks Kenrick Douglas

9780133970548 Instructor S Review Copy For Social Psychology Goals In Interaction Abebooks Kenrick Douglas

Technologies For Enhancing Collocated Social Interaction Review Of Design Solutions And Approaches Springerlink

Technologies For Enhancing Collocated Social Interaction Review Of Design Solutions And Approaches Springerlink

Sullivan Statistics Informed Decisions Using Data 6th Edition Pearson

Sullivan Statistics Informed Decisions Using Data 6th Edition Pearson

Frontiers Coach Created Motivational Climate And Athletes Adaptation To Psychological Stress Temporal Motivation

Frontiers Coach Created Motivational Climate And Athletes Adaptation To Psychological Stress Temporal Motivation

Revel For Social Psychology Goals In Interaction Instant Access 6th Edition Pearson

Revel For Social Psychology Goals In Interaction Instant Access 6th Edition Pearson

Psychological Aspects Of Health And Illness Section 1 Cambridge Handbook Of Psychology Health And Medicine

Psychological Aspects Of Health And Illness Section 1 Cambridge Handbook Of Psychology Health And Medicine

Pdf Social Psychology Goals In Interaction 6th Edition By Douglas Kenrick Steven L Neuberg Robert Ana Azzahra

Pdf Social Psychology Goals In Interaction 6th Edition By Douglas Kenrick Steven L Neuberg Robert Ana Azzahra

Pdf Social Relationships And Motivation In Middle School The Role Of Parents Teachers And Peers

Pdf Social Relationships And Motivation In Middle School The Role Of Parents Teachers And Peers

Do A Robot S Social Skills And Its Objection Discourage Interactants From Switching The Robot Off

Do A Robot S Social Skills And Its Objection Discourage Interactants From Switching The Robot Off

Kenrick Neuberg Cialdini Social Psychology Goals In Interaction 6th Edition Pearson

Kenrick Neuberg Cialdini Social Psychology Goals In Interaction 6th Edition Pearson

Social Psychology Goals In Interaction 6th Edition Youtube

Social Psychology Goals In Interaction 6th Edition Youtube

Https Summer Korea Ac Kr 5000 All Src Program Download Php Type C Code 242

Https Summer Korea Ac Kr 5000 All Src Program Download Php Type C Code 242

Coverage Of Recent Criticisms Of Milgram S Obedience Experiments In Introductory Social Psychology Textbooks

Coverage Of Recent Criticisms Of Milgram S Obedience Experiments In Introductory Social Psychology Textbooks

Amazon Com Social Psychology Goals In Interaction Books A La Carte Plus New Mylab Psychology With Pearson Etext

Amazon Com Social Psychology Goals In Interaction Books A La Carte Plus New Mylab Psychology With Pearson Etext

Https Www Jstor Org Stable 2786727

Https Www Jstor Org Stable 2786727

Social Psychology Goals In Interaction 6th Edition Kenrick Douglas Neuberg Steven L Cialdini Robert B

Social Psychology Goals In Interaction 6th Edition Kenrick Douglas Neuberg Steven L Cialdini Robert B

Pdf Motivational Beliefs Values And Goals

Pdf Motivational Beliefs Values And Goals

Sustainability Free Full Text The Sustainable Personality In Entrepreneurship The Relationship Between Big Six

Sustainability Free Full Text The Sustainable Personality In Entrepreneurship The Relationship Between Big Six

Apa Handbook Of Personality And Social Psychology

Apa Handbook Of Personality And Social Psychology

Https Www Whitman Edu Documents Offices Registrar Catalog Psychology Pdf

Https Www Whitman Edu Documents Offices Registrar Catalog Psychology Pdf

Do A Robot S Social Skills And Its Objection Discourage Interactants From Switching The Robot Off

Do A Robot S Social Skills And Its Objection Discourage Interactants From Switching The Robot Off

Https Uyhbcvlpdf Web App Social Psychology Goals In Interaction 6th Edition Pdf

Https Uyhbcvlpdf Web App Social Psychology Goals In Interaction 6th Edition Pdf

Psychological Aspects Of Health And Illness Section 1 Cambridge Handbook Of Psychology Health And Medicine

Psychological Aspects Of Health And Illness Section 1 Cambridge Handbook Of Psychology Health And Medicine

Motivation And What Really Drives Human Behavior

Motivation And What Really Drives Human Behavior

Pdf Targeted Identity Safety Interventions Cause Lasting Reductions In Discipline Citations Among Negatively

Pdf Targeted Identity Safety Interventions Cause Lasting Reductions In Discipline Citations Among Negatively

Society For The Teaching Of Psychology Resources For Teachers Of Psychology

Society For The Teaching Of Psychology Resources For Teachers Of Psychology

When Are Achievement Goal Orientations Beneficial For Academic Achievement A Closer Look At Main Effects And

When Are Achievement Goal Orientations Beneficial For Academic Achievement A Closer Look At Main Effects And

Symbolic Interactionism Wikipedia

Symbolic Interactionism Wikipedia

Communication In Nurse Patient Interaction In Healthcare Settings In Sub Saharan Africa A Scoping Review

Communication In Nurse Patient Interaction In Healthcare Settings In Sub Saharan Africa A Scoping Review